Mozart para el autismo: cuantificación de parámetros cardiorrespiratorios durante la escucha

Linda Y. Nuñez-Arcos1, Adhara I. Fernandez-Lechuga1, Genaro A. Coria-Ávila2, Luis I. García2, María Rebeca Toledo-Cárdenas2, María Elena Hernandez-Aguilar2, Jorge Manzo2*
1Doctorado en Investigaciones Cerebrales, Universidad Veracruzana, Xalapa, Ver., Mexico.
2Centro de Investigaciones Cerebrales, Universidad Veracruzana, Xalapa, Ver., México.


Resumen

La música es una expresión artística establecida durante la evolución, existen en el cerebro regiones especializadas para su percepción, elaboración y ejecución. La percepción musical activa al sistema nervioso autónomo que modula cambios cardiorrespiratorios. En el autismo se presenta una actividad autonómica elevada, por ello el objetivo aquí fue analizar respuestas cardiorrespiratorias en niños con autismo después de una estimulación con música de Mozart. Se trabajó con un grupo de 7 menores con autismo de 4 a 16 años de edad y 7 menores de desarrollo típico. Las respuestas cardiorrespiratorias fueron cuantificadas cada minuto con un brazalete inteligente. Los niños fueron estimulados con la Sonata K448 a 75 decibeles, un minuto sin música, cinco minutos con música y un minuto más sin música. El procedimiento se repitió dos veces por semana durante cinco semanas. Los datos mostraron que la frecuencia respiratoria y la presión diastólica es similar en niños típicos y niños con autismo. Las diferencias se observaron en la frecuencia cardiaca y la presión sistólica que se encuentran elevados en niños con autismo. La estimulación musical llevó a esos parámetros a niveles típicos, pero la reducción de los parámetros fue temporal, de una sesión a la siguiente los niños con autismo volvían a presentar parámetros elevados. La estimulación musical con Mozart es efectiva para reducir temporalmente la frecuencia cardiaca y presión sistólica en niños con autismo, así como para mantenerlas al nivel de niños con desarrollo típico. Aún se requieren encontrar estrategias para hacer que los beneficios sean permanentes.

Palabras clave: Presión sistólica, Frecuencia cardiaca, Sonata K448.

Inicio

Abstract

Music is an artistic expression established during evolution, there are specialized regions in the brain for its perception, elaboration, and execution. Musical perception activates the autonomic nervous system that modulates cardiorespiratory changes. In autism a high autonomic activity is observed, therefore the objective here was to analyze cardiorespiratory responses in children with autism after stimulation with Mozart music. We worked with a group of 7 minors with autism from 4 to 16 years of age and 7 minors of typical development. Cardiorespiratory responses were quantified every minute with a smart bracelet. The children were stimulated with the Sonata K448 at 75 decibels, one minute without music, five minutes with music, and one more minute without music. The procedure was repeated twice a week for five weeks. The data showed that the respiratory rate and diastolic pressure is similar in typical children and children with autism. Differences were seen in elevated heart rate and systolic pressure in children with autism. The musical stimulation brought these parameters to typical levels, but the reduction of the parameters was temporary, from one session to the next the children with autism returned to present elevated parameters. Musical stimulation with Mozart is effective in temporarily lowering the heart rate and systolic pressure in children with autism, as well as keeping them at the level of typically developing children. Strategies still need to be found to make the benefits permanent.

Keywords: Systolic pressure, Heart rate, Sonata K448.

Inicio

1. Introducción

La música es una expresión artística con una compleja base neural establecida durante la adaptación evolutiva. Ha estado presente desde el origen del hombre1 y ahora sabemos que existen complejos circuitos que permiten confirmar que el cerebro tiene regiones especializadas para percibir, elaborar y ejecutar la música.2 Si bien el estudio de estos circuitos es complicado, trastornos como el autismo los destacan por lo que pueden identificarse con mayor claridad.3

El autismo es un espectro de conductas que difieren del comportamiento típico, debido a una serie de desórdenes del cerebro durante el desarrollo. Las manifestaciones conductuales en el autismo incluyen decremento en la interacción social, decremento en las habilidades de comunicación verbal o respuestas inapropiadas durante la conversación, manifestaciones de conductas repetitivas o estereotipadas, carencia de empatía para entablar relaciones afectivas y obsesiones inapropiadas sobre objetos específicos; todo esto acompañado de expresiones cognitivas que van desde altos niveles de inteligencia hasta severas alteraciones intelectuales.4 A pesar de estos complejos cambios en el autismo, los circuitos cerebrales para la apreciación musical parecen funcionales, por lo que varios estudios han mostrado diversos beneficios de la estimulación musical como terapia para la mejora de la conducta y para mejorar la conectividad funcional en estos y otros circuitos cerebrales.5,6

La percepción musical dispara un gran número de respuestas fisiológicas, muchas de ellas relacionadas con la activación del sistema nervioso autónomo.7,8 El análisis de estas respuestas autonómicas ha sido ampliamente estudiada tomando como modelo los cambios en el sistema cardiorrespiratorio, que ha mostrado ser un buen indicador del impacto de la música.1-11 Además, con estudios de tomografía de emisión de positrones, se ha mostrado que la música produce activación de estructuras cerebrales relacionadas con las sensaciones placenteras y de recompensa, entre las que se encuentran el estriado ventral, la amígdala, la corteza orbitofrontal y la corteza prefrontal, entre otras,12 muchas de ellas alteradas en el autismo.4 Asimismo, en un modelo animal de autismo, también mostramos que la estimulación musical incrementa la densidad de receptores a canabinoides en la corteza del flóculo cerebelar de ratas.13 Con ello se resume que la música es un estímulo de alta potencia para desencadenar diferentes respuestas neurofisiológicas, muchas de las cuales pueden llevar a beneficios en la salud.14 En 1993, un grupo de investigadores mostraron por primera vez en estudiantes universitarios que la estimulación auditiva con música de Mozart incrementa temporalmente las habilidades de razonamiento,15 que se acompañan por una actividad cerebral aumentada.16 Todo ello impulsó un gran número de investigaciones sobre el efecto de la música de Mozart en respuestas neurales como la memoria o concentración y otras fisiológicas como el dolor.17,18 En el autismo se ha observado una actividad autonómica elevada que se manifiesta en algunos parámetros cardiorrespiratorios incrementados,19 que contribuyen a los altos niveles de ansiedad que se observa en ellos. Así, a partir de los antecedentes aquí mencionados planteamos el objetivo de disminuir los parámetros cardiorrespiratorios en niños con autismo después de una estimulación controlada con música de Mozart.

Inicio

2. Materiales y métodos

Con el objetivo de evaluar los parámetros cardiorrespiratorios simultáneamente a la estimulación de la música, se adaptó a un grupo de niños con autismo a utilizar audífonos y un brazalete en la muñeca. Los padres de los participantes fueron informados con detalle sobre los procedimientos y, después de su aceptación, firmaron un consentimiento para que sus hijos fueran incluidos en el estudio.



2.1. Participantes

El grupo experimental se estructuró con 7 menores con diagnóstico de autismo, 5 niños y 2 niñas, en un rango de 4 a 16 años de edad. El grupo control fue conformado por 7 niños de desarrollo típico del mismo rango de edad. Todos los menores fueron acostumbrados paulatinamente a estar en el aula sin su madre o padre, a usar el brazalete y los audífonos y a permanecer sentados por más de 7 minutos. Una vez conseguido esto, se procedió a la toma de datos.



2.2. Parámetros Cardiorrespiratorios

Estas respuestas fueron cuantificadas con el brazalete inteligente Bracelet 37o (37 Degree Technology, Shanghai), que es un monitor de muñeca que los niños utilizaron permanentemente mientras eran estimulados auditivamente. El brazalete midió las frecuencias cardiaca y respiratoria, así como la presión sanguínea. La medición las realizaba una vez por minuto y la información era enviada por Bluetooth a una aplicación instalada en un teléfono celular.



2.3. Estimulación Musical

Durante el procedimiento, los niños fueron estimulados con la Sonata para Dos Pianos K448 de Mozart, con una intensidad de volumen ajustada a 75 decibeles. La música era transmitida de manera alámbrica de un reproductor electrónico (iPod; Apple, Inc.) directamente a los audífonos. Los audífonos utilizados fueron de cojín suave (Sony de México, S.A. de C.V.) para minimizar la presión sobre las orejas.



2.4 Procedimiento

A cada niño se le pedía sentarse y quedarse quieto con los ojos cerrados. Se le colocaban simultáneamente los audífonos y el brazalete para iniciar la prueba. Se activaba el brazalete y se colectaron los datos de los parámetros cardiorrespiratorios el primer minuto sin música, pasado el minuto se activaba la música y se reproducía por cinco minutos, en cada uno de ellos se cuantificaban los parámetros. Al terminar los cinco minutos, se cuantificaba un minuto adicional sin música. El procedimiento se repitió dos veces por semana durante cinco semanas, hasta completar un total de diez sesiones.



2.5. Análisis de Datos

Los datos se analizaron y graficaron utilizando el programa Prism 8.4 (GraphPad Software). Las gráficas representan la media y el error estándar. El análisis fue una Prueba t Múltiple donde se compararon los resultados de los niños con autismo y los niños típicos en cada minuto de obtención de datos. Las diferencias significativas se consideraron cuando p<0.05.< /p>

Inicio

3. Resultados

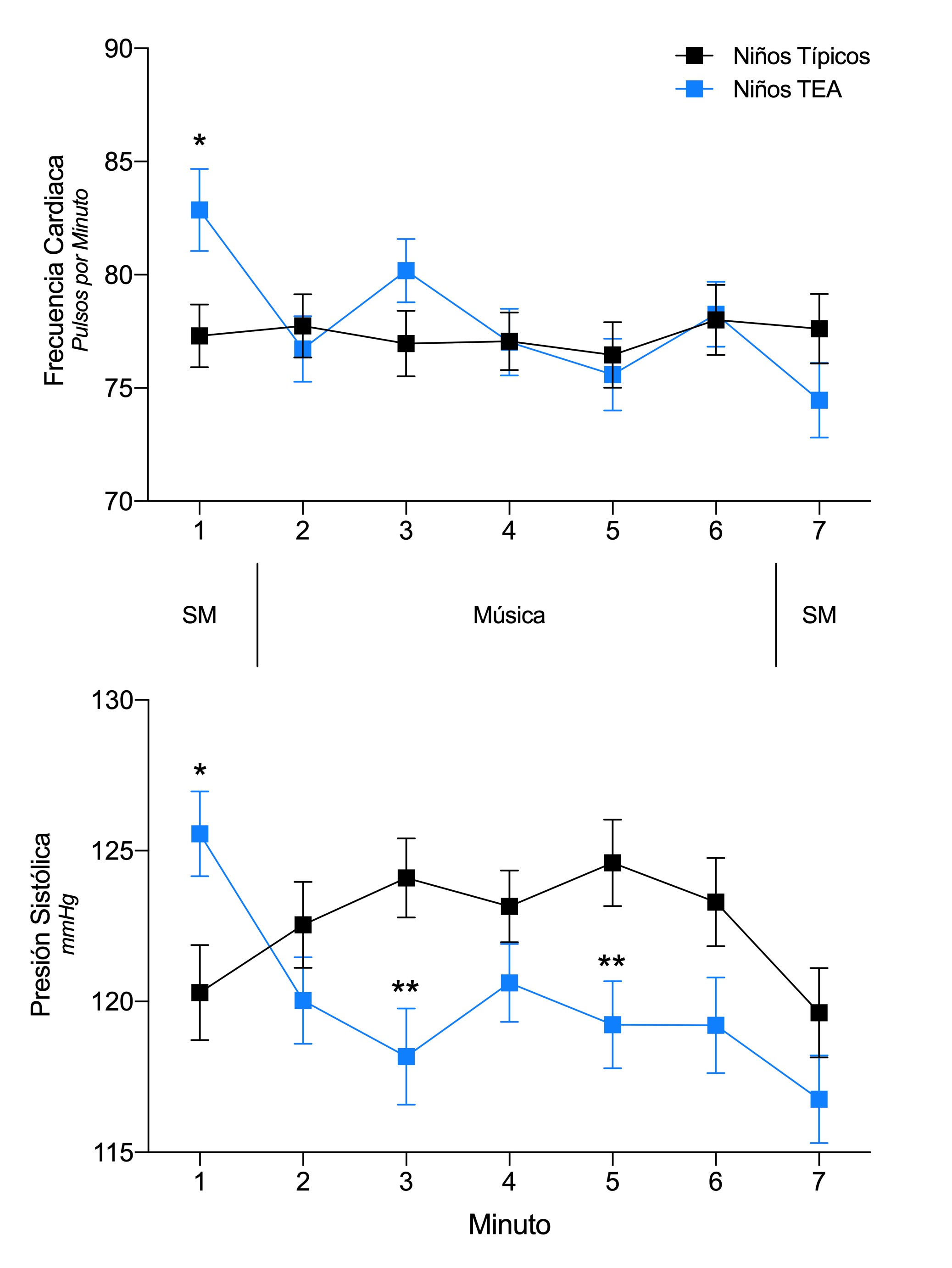
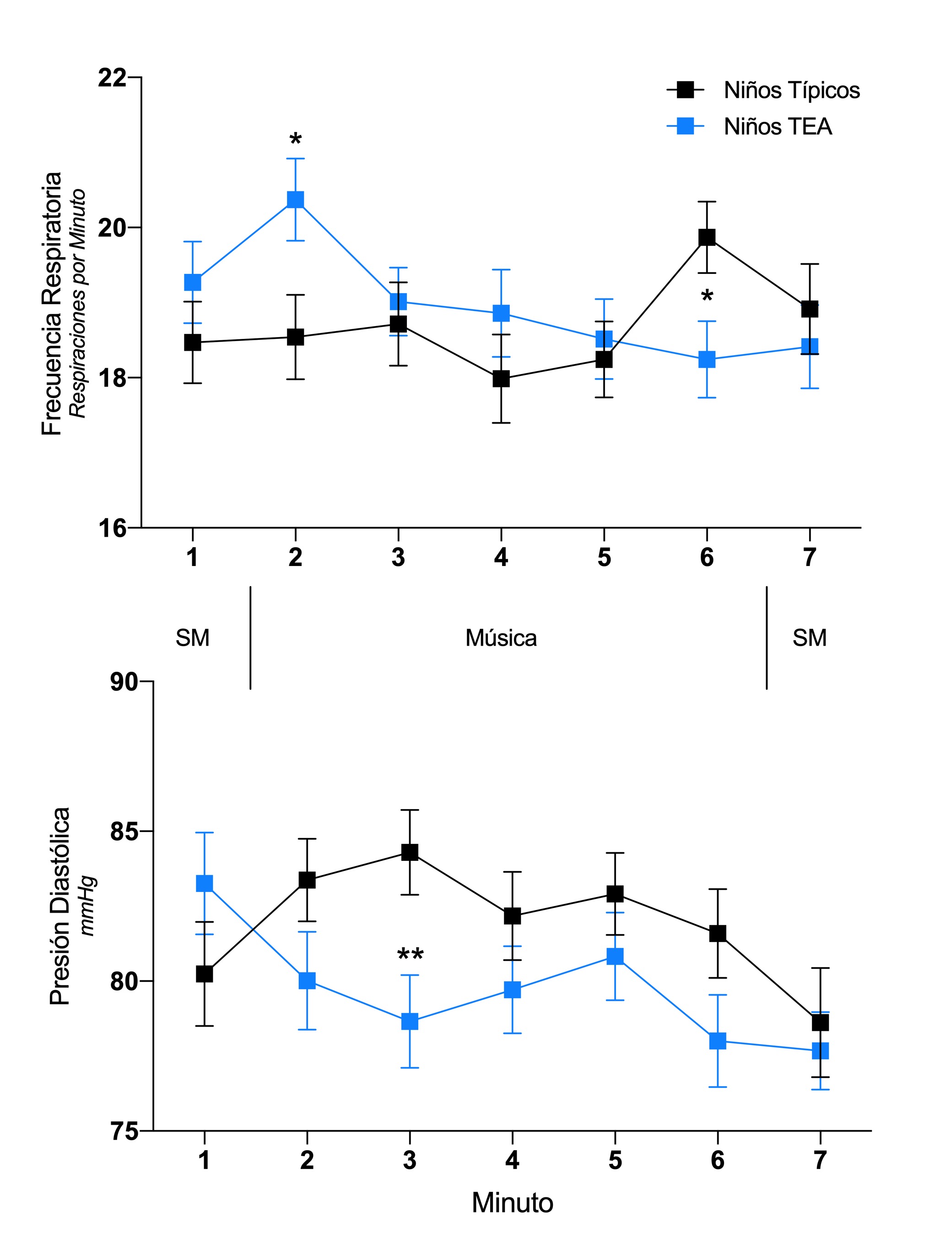
Los datos obtenidos muestran que la frecuencia respiratoria y la presión diastólica son similares en niños típicos y niños con autismo, no obstante en minutos específicos de la estimulación musical se vieron diferencias significativas entre ambas poblaciones (Fig. 1). Las diferencias más relevantes se observaron en la frecuencia cardiaca y la presión sistólica. Ambos parámetros se encuentran elevados en niños con autismo, lo que se observa en el minuto 1. La estimulación musical de niños con autismo llevó a esos parámetros a niveles de niños típicos, aunque la presión sistólica se redujo aún más en dos momentos de la estimulación musical, mientras que la frecuencia cardiaca se mantuvo similar para ambos grupos. En el minuto 7, cuando ya se había apagado la estimulación musical, los parámetros se mantuvieron equivalentes en ambos grupos (Fig. 2). Sin embargo la reducción de los parámetros fue temporal, de una sesión a la siguiente, los niños con autismo volvían a presentar la frecuencia cardiaca y la presión sistólica elevada

Fig. 1. La frecuencia respiratoria (gráfica superior) y la presión diastólica (gráfica inferior) son parámetros equivalentes en niños típicos y niños con autismo (TEA), que puede observarse en el minuto previo a la estimulación musical (Minuto 1, SM = sin música); durante la estimulación musical del minuto 2 al 6, se observaron diferencias significativas en pocos momentos; en el minuto posterior a la estimulación musical (Minuto 7, SM), los valores de ambas poblaciones se mantuvieron equivalentes. * = p<0.05; **=p<0.01.
Fig. 2. La frecuencia cardiaca (gráfica superior) y la presión sistólica (gráfica inferior) son parámetros distintos entre niños típicos y niños con autismo (TEA). Previo a la estimulación musical (Minuto 1, SM = sin música) se observa que los niños TEA tienen ambos parámetros significativamente más elevados en comparación con los niños típicos. La estimulación musical (Minuto 2 al 6) produce que los niños TEA reduzcan ambos parámetros a niveles típicos, incluyendo una reducción significativa en dos momentos de la presión sistólica. En el minuto posterior a la estimulación musical (Minuto 7, SM), los valores TEA siguen en el nivel de los típicos, aunque no de manera permanente. En la siguiente prueba los niños TEA vuelven a presentar los valores elevados que se observan en el Minuto 1.
Inicio

4. Discusión

La estimulación musical con la Sonata K448 de Mozart es efectiva para reducir la frecuencia cardiaca y presión sistólica en niños con autismo, así como para mantenerlas al nivel que se presenta en niños con desarrollo típico, aunque temporalmente, aún se requieren más estudios para encontrar una estrategia para que los cambios sean permanentes. La frecuencia respiratoria y la presión diastólica no sufrieron cambios durante la estimulación musical, pero tampoco se vieron alterados en los niños con autismo. Esto muestra que los parámetros que se observan a un nivel típico no son modificados por la estimulación musical en ninguna de las dos poblaciones de niños.

Por otro lado, existe abundante literatura que muestra que el ejercicio regular mejora la expectativa de vida tanto en sujetos típicos como con alguna discapacidad,20 y que esta mejora es resultado en parte del beneficio que la actividad física tiene sobre el control de la frecuencia cardiaca.21 Aquí observamos que la estimulación musical tiene un efecto similar al del ejercicio físico, por lo que su uso a largo plazo puede ser de gran beneficio para la salud en el autismo. Se sabe que la frecuencia cardiaca es un parámetro que está bajo el control del sistema nervioso autónomo, simpático y parasimpático, que en el autismo se pierde el balance funcional entre estas dos divisiones del sistema nervioso autónomo9 y que varias estructuras centrales relacionadas directamente con el control de funciones autonómicas presentan alteraciones en el autismo.4 Con ello, se sugiere que la estimulación musical tiene un efecto significativo al reactivar vías autonómicas que producen un decremento de la elevada frecuencia cardiaca que se observa permanente en niños con autismo.

La presión sistólica se considera como el parámetro más eficaz para determinar riesgos futuros de padecer enfermedades cardiovasculares y es el principal factor causal de hipertensión arterial.22 En los niños con autismo de este estudio, se observó una presión sistólica que a pesar de estar elevada, aparentemente no representa un gran riesgo a la salud cardiovascular por estar debajo de los 130 mmHg.23 Sin embargo, ya en la edad adulta, las personas con autismo tienden a mostrar una mayor prevalencia de hipertensión.24 En conjunto, todo ello sugiere que es necesaria una intervención apropiada para la reducción de la presión sistólica en el autismo. Los datos aquí presentados muestran que la estimulación musical puede ayudar a regular temporalmente este parámetro, lo que implica un acercamiento terapéutico no farmacológico cuyo uso no trae consecuencias secundarias. Si a esto le sumamos el beneficio del ejercicio físico que mostramos en un trabajo previo en niños con autismo,25 la reducción a niveles óptimos de la presión sistólica en el autismo podría ser más permanente.

Los efectos de la música de Mozart sobre diferentes respuestas cerebrales se conocen desde hace tiempo y los estudios coinciden en que son benéficas en poblaciones con características distintas. Un estudio comparó efectos de sonatas de Mozart y Beethoven sobre el encefalograma de adultos de diferentes edades y mostró que sólo la sonata de Mozart producía cambios significativos en ondas cerebrales que se sabe están vinculadas a procesos de memoria y cognición;16 y en otro estudio se mostró que mejora la memoria a corto plazo y la concentración.18 En pacientes que han sufrido un infarto, la música de Mozart redujo significativamente la presión sistólica en comparación con música de los Beatles o de noticias por radio.26 Así, los resultados que aquí mostramos siguen en la línea de que la música de Mozart tiene beneficios también para el sistema cardiorespiratorio de niños con autismo. La razón del efecto de la música aún se desconoce, pero el impacto benéfico de Mozart se observa incluso en animales con diferentes alteraciones. 13, 27 No obstante, se ha propuesto que la música jugó un papel crucial en la evolución del lenguaje, la cohesión social y el trabajo en grupo, que la colocó en un ámbito especial dentro de los circuitos cerebrales permitiéndole modular las emociones, modificar la actividad del sistema nervioso autónomo, impactar sobre los sistemas endocrino e inmune, así como tener representaciones en diferentes áreas motoras.2 Así, los estudios sobre la neurobiología de la música en el autismo y en diferentes poblaciones, es una asignatura que aún requiere de mayores estudios pero que cada vez más muestra su gran utilidad como intervención no farmacológica.

Inicio

5. Agradecimientos

Estudio apoyado con una Beca de Doctorado de Conacyt a LYNA (430754); por el Cuerpo Académico de Neurociencias (UV-CA-28) y el Cuerpo Académico de Neuroquímica (UV-CA-304).

Inicio

6. Conflicto de intereses

Los autores declaran que no tienen conflicto de intereses.

Inicio

Referencias

1. Burian Z, Wolf J. The dawn of man. Harry N. Abrams, Inc., Publishers, New York. 1978.

2. Koelsch S, Siebel WA. Towards a neural basis of music perception. Trends Cogn Sci 2005 9: 578–84.

3. Peretz I. Brain specialization for music. Neurosci 2002 8: 372–80.

4. Manzo J. Un segundo espectro del autismo: de la conducta a la neurona. eNeurobiol 2019 10: 150119.

5. Panksepp J, Bernatzky G. Emotional sounds and the brain: the neuro- affective foundations of musical appreciation. Behav Process 2002 60: 133–55.

6. Sharda M, Tuerk C, Chowdhury R, Jamey K, Foster N, Custo-Blanch M, Tan M, Nadig A, Hide K. Music improves social communication and auditory- motor connectivity in children with autism. Translational Psych 2018 8: 231.

7. Kume S, Nishimura Y, Mizuno K, Sakimoto N, Hori H, Tamura Y, Yamato M, Mitsuhashi R, Akiba K, Koizumi J, Watanabe Y, Kataoka Y. Music improves subjective feelings leading to cardiac autonomic nervous modulation: a pilot study. Front Neurosci 2017 11: 108.

8. Akimoto K, Hu A, Yamaguchi T, Kobayashi H. Effect of 528 Hz music on the endocrine system and autonomic nervous system. Health 2018 10: 1159- 1170.

9. Ming X, Julu POO, Brimacombe M, Connor S, Daniels ML. Reduced cardiac parasympathetic activity in children with autism. Brain Dev 2005 27: 509–16.

10. Riganello F, Cortese MD, Arcuri F, Quintieri M, Dolce G. How can music influence the autonomic nervous system response in patients with severe disorder of consciousness? Front Neurosci 2015 9: 461.

11. Chiu HW, Lin LS, Kuo MC, Chiang HS, Hsu CY. Using heart rate variability analysis to assess the effect of music therapy on anxiety reduction of patients. Comp Cardiol 30: 469-472.

12. Blood AJ, Zatorre RJ. Intensely pleasurable responses to music correlate with activity in brain regions implicated in reward and emotion. Proc National Acad Sci 2001 98: 11818–23.

13. Monje-Reyna D, Garcia-Hernandez LI, Carrillo-Castilla P, Coria-Avila GA, Toledo-Cardenas MR, Hernandez- Aguilar ME, Manzo J. Incremento de receptores endocanabinoides cerebelares tras estimulación musical de ratas con autismo inducido posnatalmente. eNeurobiol 2019 10: 220219.

14. Bernardi L, Porta C, Casucci G, Balsamo R, Bernardi NF, Fogari R, Sleight P. Dynamic interactions between musical, cardiovascular, and cerebral rhythms in humans. Circulation 2009 119: 3171–80.

15. Rauscher FH, Shaw GL, Ky CN. Music and spatial task performance. Nature 1993 365: 611–611.

16. Verrusio W, Ettorre E, Vicenzini E, Vanacore N, Cacciafesta M, Mecarelli O. The Mozart effect: a quantitative EEG study. Conscious Cogn 2015 35: 150–5.

17. Cavaiuolo C, Casani A, Manso GD, Orfeo L. Effect of Mozart music on heel prick pain in preterm infants: a pilot randomized controlled trial. J Pediatric Neonatal Individ Medicine 2014 4: e040109.

18. Limyati Y, Wahyudianingsih R, Maharani RD, Christabella MT. Mozart’s Sonata for two pianos K448 in D-Major 2nd movement improves short-term memory and concentration. J Medicine Heal 2019 2: 930-37.

19. Goodwin MS, Groden J, Velicer WF, Lipsitt LP, Baron MG, Hofmann SG, Groden G. Cardiovascular arousal in individuals with autism. Focus Autism Dev Dis 2006 21: 100–23.

20. Seravalle G, Grassi G. Heart rate as cardiovascular risk factor. Postgrad Med 2020 132: 1–10.

21. Reimers AK, Knapp G, Reimer C-D. Effects of exercise on the resting heart rate: a systematic review and meta- analysis of interventional studies. J Clin Medicine 2018 7: 503.

22. Kannel WB. Elevated systolic blood pressure as a cardiovascular risk factor. Am J Cardiol 2000 85: 251–5.

23. Weber MA, Bakris GL, Hester A, Weir MR, Hua TA, Zappe D, Dahlof B, Velazquez EJ, Pitt B, Jamerson K. Systolic blood pressure and cardiovascular outcomes during treatment of hypertension. Am J Medicine 2013 126: 501–8.

24. Croen LA, Zerbo O, Qian Y, Massolo ML, Rich S, Sidney S, Kripke C. The health status of adults on the autism spectrum. Autism 2015 19: 814–23.

25. Crespo CN, Garcia LI, Coria GA, Carrillo P, Hernandez ME, Manzo J. Mejora de las habilidades motoras y cognitivas de niños con autismo después de un periodo prolongado de juego con deportes virtuales. eNeurobiol 2016 15: 070716.

26. Gruhlke LC, Patrício MC, Moreira DM. Mozart, but not the Beatles, reduces systolic blood pressure in patients with myocardial infarction. Acta Cardiol 2017 70: 703–6.

27. Akiyama K, Sutoo D. Effect of different frequencies of music on blood pressure regulation in spontaneously hypertensive rats. Neurosci Lett 2011 487: 58–60.

Inicio


Recibido: 27 de octubre, 2020 Aceptado: 15 de diciembre, 2020




Mail
*Correspondencia en: Jorge Manzo Denes, PhD. Centro de Investigaciones Cerebrales. Universidad Veracruzana. Xalapa, Ver. México E-mail: jmanzo@uv.mx

Este es un artículo de libre acceso distribuido bajo los términos de la licencia de Creative Commons, (http://creamasal@unam.mxtivecommons.org/licenses/by-nc/3.0), que permite el uso no comercial, distribución y reproducción en algún medio, siempre que la obra original sea debidamente citada.